В. И. Барсуков1, М. В. Гребенников2, О. С. Дмитриев1, А. А. Емельянов2, А. А. Барсуков1
Кафедра «Физика» (1); Испытательный центр (2),
ФГБОУ ВО «ТГТУ»; г. Тамбов, Россия;
ISSN 0136-5835. Вестник ТГТУ. 2017. Том 23. № 2

Рассмотрено применение метода двух- и трехфакторного дисперсионного анализа при изучении влияния V2O5 и времени накопления полезного сигнала на определение щелочных элементов Li, Na, K, Rb и Cs методом пламенной эмиссионной фотометрии. Показано, что значимыми факторами являются влияние V2O5 при определении Na и время накопления полезного сигнала для всех изучаемых элементов.

Практика применения методов пламенной эмиссионной фотометрии показывает, что интенсивность излучения атомов определяемых элементов сложным образом зависит от ряда факторов: образования новых соединений в плазме пламени, смещения равновесия диссоциации молекул, наложения мешающих излучений на аналитическую линию и ряда других причин [1 – 4]. Для выяснения некоторых влияющих факторов при определении щелочных элементов в данном случае перспективным может оказаться применение дисперсионного анализа с соответствующим планированием эксперимента [5 – 7]. Цель работы – проведение аналитического исследования влияния V2O5 и времени накопления аналитического (полезного) сигнала на интенсивность излучения атомов Li, Na, K, Rb и Cs в пламени. Исследование проводилось путем сравнения дисперсий по критерию Фишера и планирования эксперимента с использованием метода латинских квадратов в отличие от подходов, представленных в работах [8 – 12].
Для проведения исследований применили следующее аналитическое оборудование: пламенный спектрофотометр на базе двойного кварцевого монохроматора ДМР-4 с активной интегрирующей приставкой и спектрофотометр С-302 в совокупности с интегрирующим цифровым вольтметром В2-23, приспособленным для измерения эмиссии атомов в пламени смеси пропан–бутан–воздух, и приемы проведения анализа, представленные в работе [12]. Введение в схему регистрации интегрирующего устройства позволяет преобразовать сигнал эмиссии в единицы концентрации (при необходимости) и произвести усреднение сигнала в течение калиброванных промежутков времени.
В качестве реактивов использовали нитраты перечисленных металлов и V2O5 квалификации “х.ч.”. Аналитическими линиями при определении элементов являлись: для Li линия λ = 670,8 нм; Na – 589,0 нм; K – 766,5 нм; Rb – 780,0 нм; Cs – 852,1 нм.
При изучении влияния ванадия на определение элементов применили двух- факторный дисперсионный анализ, проведенный по схеме, показанной в табл. 1. Здесь по горизонтальной стороне расположены уровни содержания V2O5 (мг/мл) – фактор А, по вертикальной – содержание щелочного металла (мкг/мл) – фактор В. Величина интенсивности излучения атомов в пламени, в делениях регистрирующего прибора, для раствора, соответствующего i-му содержанию щелочного металла и j-му содержанию V2O5, расположены в табл. 1 в виде значения xij, которое бралось как среднее арифметическое из восьми параллельных определений. Средняя квадратичная ошибка определений не превышала двух делений (в зависимости от концентрации определяемого элемента). Все опыты рандомизированы по времени.
Одновременно с фиксацией аналитического сигнала и вычислением средней квадратичной ошибки (стандартное отклонение) рассчитывался предел определения содержания элементов по формуле



где σ – среднее квадратичное отклонение, усл. дел. (деления применяемого измерительного прибора); С – концентрация исследуемого элемента, мкг/мл; I – величина аналитического сигнала (интенсивность излучения атомов металла), усл. дел.
В качестве примера в табл. 2 приведены результаты проведенных исследований для одного из рассматриваемых элементов – Li. Полученные в результате проведенных измерений данные для всех элементов обрабатывались по следующему алгоритму.

Таблица 1

Схема двухфакторного дисперсионного анализа

 

Уровень фактора В Уровень фактора А
А1 А2 А3 А4 А5 А6
В1 x11 x12 x13 x14 x15 x16
В2 x21 x22 x23 x24 x25 x26
В3 x31 x32 x33 x34 x35 x36
В4 x 41 x42 x43 x44 x45 x46
В5 x51 x52 x53 x54 x55 x56
В6 x61 x62 x63 x64 x65 x66

Таблица 2

Интенсивность излучения атомов лития в пламени в присутствии V2O5

 

 

Li, мкг/мл

V2O5, мг/мл
0 0,5 1,0 2,0 4,0 6,0
0 0 3,6 4,3 9,8 17,7 30,2
1 1,3 5,6 9,1 12,4 17,3 28,4
5 11,1 11,0 14,9 17,1 22,1 35,1
10 23,4 22,5 20,3 31,5 35,0 39,3
20 52,7 44,5 41,3 50,8 59,7 65,3
30 69,8 76,9 74,1 71,7 65,9 82,6
  1. Вычисление суммы квадратов величины интенсивности для всех наблюдений
  2. Вычисление суммы квадратов итогов по столбцамФормула3
  3. Вычисление суммы квадратов итогов по строкамФормула4
  4. Определение квадрата общего итогаФормула5
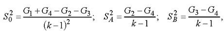
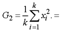
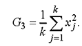
  5. Нахождение выборочных дисперсийФормула6

где k – число наблюдений по строкам и столбцам. Критерий Фишера определяли по формулам:Формула7

и после его расчета получили, что в случае излучения атомов лития критерий Фишера FB = 4,83, FA = 2,06, для атомов Na соответственно 115 и 63, Rb – 408 и 2,17, Cs – 59 и 0,46.

Табличное значение критерия Фишера F при надежности 0,95 и степенях свободы f1 = 5 и f2 = 25 равно F0,95 = 2,6. Сравнивая полученные данные с табличным значением, приходим к выводу, что, как и следовало ожидать, FВ значимо влияет на излучение щелочных металлов в пламени, FА – лишь в случае измерения эмиссии атомов натрия (FNa = 63 > Fтабл = 2,6).

Результаты исследований показали, что ванадий сложным образом влияет на излучение атомов натрия в пламени смеси пропан–бутан–воздух, что связано с наложением на аналитическую линию Na молекулярной полосы ванадия 610…630 нм. Графически данные исследования показаны на рис. 1:

  • присутствие ванадия увеличивает эмиссионный сигнал Na (рис. 1, а) и сложным образом влияет на предел его определения (см. рис. 1, б), что связано с уменьшением ионизации атомов Na, а также со смещением равновесия диссоциации молекул ванадатов Na в сторону образования свободных атомов Na;
  • увеличение концентрации анализируемого элемента ведет к увеличению ошибки определения (см. рис. 1, а, кривая 7) и нелинейной зависимости предела определения (см. рис. 1, б). Последнее связано со значительным изменением диапазона концентраций определяемого элемента.

Скорость изменения интенсивности излучения натрия значительно выше скорости изменения ошибки измерений (сравнить тангенс угла наклона линий 1 и 7) (см. рис. 1, а). При изучении влияния на величину аналитического сигнала атомов Li, Na, K, Rb и Cs времени регистрации (фактор С) по методу накопления сигнала с применением активной интегрирующей цепочки, также применили планирование эксперимента с помощью латинских квадратов, но для трехфакторного дисперсионного анализа. Форма планирования эксперимента прежняя, но с добавлениемРис1

Рис. 1. Графики влияние ванадия при изучении характера излучения атомов Na:

а – влияние содержании V2O5 на интенсивность излучения при:
1 – 6,0; 2 – 4,0; 3 – 2,0; 4 – 1,0; 5 – 0,5; 6 – 0,0; 7 – изменение среднего квадратичного отклонения;
б – влияние на предел определения: 1 – без ванадия; 2 – содержание V2O5 в мг/мл: 0,5; 3 – 1,0; 4 – 2,0; 5 – 4,0; 6 – 6,0

в клетки квадратов соответсвующих уровней времени накопления полезного сигнала от 2 до 50 с. Величина регистрируемого сигнала при излучении анализируемых атомов также бралась как средняя из восьми параллелей. Все опыты рандомизированы по времени. Схема регистрации аналитического сигнала и оборудование выбраны в соответствии с [7].

Обработка результатов измерений латинского квадрата проводилась по схеме, аналогичной предшествующим исследованиям с дополнением следующих шагов.

6. Вычисление суммы квадратов итогов по уровням фактора времениФормула8

где kу – число уровней.

7. Определение дисперсии для каждого фактораФормула9

8. Нахождение дисперсии, связанной со случайностью наблюденийФормула10

9. Расчет для каждого фактора критериев ФишераФормула11

10. Сравнение полученных дисперсий по критерию Фишера, Fтабл = 2,6. Значимость рассматриваемых факторов определялось аналогично двухфакторному дисперсионному анализу.

В таблице 3, в качестве примера, представлены результаты измерения величины регистрируемого сигнала при излучении атомов Rb в пламени смеси пропан–бутан–воздух. Анализ проведенных исследований показал, что критерий Фишера при определении Li для изменения его концентрации FLi = 3,64, присутствия V2O5 – 2,07, времени накопления полезного сигнала – 7,10; соответственно

Таблица 3

Величина регистрируемого сигнала I и время накопления полезного сигнала при излучении атомов Rb в пламени в присутствии V2O5

 

Rb, мкг/мл V2O5, мг/мл
0 0,5 1,0 2,0 4,0 6,0
0 2

0

5

0

10

0,8

20

3,6

40,0

15,4

50,0

23,5

30 5 10

12

20,0

21,5

40,0

86,6

50,0

52,0

2,0

3,4

60 10,0

25,5

20,0

38,1

40,0

76,0

50,0

96,5

2,0

4,3

5

11,6

100 20,0

65,8

40

122

50

149,0

2,0

6,5

5

15,0

10,0

29,0

200 40

298,7

50

336,3

2

12,9

5

27,0

10,0

54,2

20

116,8

300 50

423,1

2

15

5

38,8

10,0

88,8

20,0

12,6

40

236,0

Примечание : верхняя строка ячейки – время накопления полезного сигнала (фактор С); нижняя строка – величина регистрируемого сигнала I.

при определении Na – 8,1; 6,3; 26,9; K – 8,48; 1,86; 11,65; Rb – 8,30; 2,40; 9,30; Cs – 7,21; 2,21; 6,95. Сравнение данных значений с табличным значением критерия Фишера показывает значимость влияния содержания щелочных металлов лишь при определении Na и времени накопления полезного сигнала. В данном исследовании влияние V2O5 на эмиссию атомов Na является аналогичным рассмотренному. В качестве примера на рис. 2 показаны результаты роли накопления полезного сигнала с использованием пламенной эмиссионной фотометрии при определении только некоторых элементов. Тангенс угла наклона градуировочных графиков (чувствительность определения) увеличивается при определении Li в 40 раз; K – 30; Rb и Cs – 20 (рис. 2, а, в, д, ж кривые 1 и 6). Однако увеличения предела определения исследуемых элементов не получено, так как не наблюдается пропорционального изменения ошибки определения s, от которой он зависит (1).

Проведенные исследования показали, что введение V2O5 (FА) в анализируемые растворы щелочных металлов в бóльшей степени сказывается на определении Na и практически не влияет на определение остальных рассматриваемых’элементов.Рисунок2

Рис. 2. Зависимости регистрированной интенсивности излучения I (а) и чувствительности определения атомов щелочных металлов [с] (б) в пламени от времени накопления полезного сигнала, с (начало):
1 –50; 2 – 40; 3 – 20; 4 – 10; 5 – 5; 6 – 2
Рис. 2. Продолжение. Зависимости регистрированной интенсивности излучения I (в, д, ж) и чувствительности определения атомов щелочных металлов [с] (г, е, з) в пламени от времени накопления полезного сигнала, с:
1 –50; 2 – 40; 3 – 20; 4 – 10; 5 – 5; 6 – 2

Использование метода накопления полезного сигнала с помощью активной интегрирующей цепочки (FС) позволило значительно снизить предел определения элементов, увеличить его чувствительность (угол наклона графиков) и подобрать оптимальное время интегрирования для всех. Оптимальное значение времени накопления сигнала при определении Li и Rb – 40 с, а K и Cs – 10 с.

Полученные результаты в дальнейшем учтены при разработке методик определения щелочных элементов в различных сплавах, содержащих ванадий. Проведенные исследования могут помочь работникам аналитических лабораторий при выборе условий проведения анализа, а также студентам, в учебных программах которых есть вопросы, связанные с дисперсионным анализом и планированием эксперимента.

Список литературы
  1. Пупышев, А. А. Атомно-абсорбционный спектральный анализ / А. А. Пупышев. – М. : Техносфера, 2009. – 784 с.
  2. Пламенно-фотометрическое определение натрия в чистой V2О5 / В. Л. Золотавин [и др.] // Журн. приклад. спектроскопии. – – Т. 2, № 5. – С. 461 – 462.
  3. Золотавин, В. Л. Пламенно-фотометрическое определение лития в гидратированной окиси ванадия / В. Л. Золотавин, Ю. Ф. Букреев, Л. К. Толстов // Журн. приклад. спектроскопии. – 1968. – Т. 9, № 1. – С. 18 – 20.
  4. Flame-Photometric Investigation of Hydrochloric Acid Solutions of Sodium / Yu. Bukreev [et al.] // Journal of Applied Spectroscopy. – 1974. – Vol. 16, No. 2. –153 – 157.
  5. Адлер, Ю. П. Планирование эксперимента при поиске оптимальных условий / Ю. П. Адлер. – М. : Наука, 2012. – 278 с.
  6. Ляшков, В. И. Инженерный эксперимент : учебное пособие / В. И. Ляшков. –Тамбов : Изд-во ФГБУ ВПО «ТГТУ», 2014. – 81 с.
  7. Шеффе, Г. Дисперсионный анализ / Г. Шеффе. – М. : Наука, – 512 c.
  8. Барсуков, В. И. Пламенно-эмиссионные и атомно-абсорбционные методы анализа и инструментальные способы повышения их чувствительности / В. И. Барсуков. – М. : Машиностроение-1, 2004. – 171 с.
  9. Барсуков, В. И. Математическое планирование эксперимента при определении состава проб методом пламенной атомно-абсорбционной спектроскопии / В. И. Барсуков, Е. М. Бучнева // Вестн. Тамб. гос. техн. ун-та. – – Т. 20, № 4. – С. 793 – 800.
  10. Планирование эксперимента при определении микроэлементов в водных растворах методом атомно-абсорбционной спектроскопии / В. И. Барсуков [и др.] // Вестн. Тамб. гос. техн. ун-та. – 2016. – Т. 22, № 1. – С. 114 – 121.
  11. Барсуков, В. И. Планирование эксперимента при спектральном определении магния в водах / В. И. Барсуков, О. С. Дмитриев, А. А. Барсуков // Вестн. Тамб. гос. техн. ун-та. – 2015. – Т. 21, № 4. – С. 669 – 674.
  12. Барсуков, В. И. Планирование эксперимента для фотометра с активной интегрирующей ячейкой / В. И. Барсуков, О. С. Дмитриев, А. А. Коробов // Тр. Естественнонауч. и гуманит. фак. Тамб. гос. техн. ун-та : сб. науч. и науч.- метод. ст. – Тамбов : Изд-во Першина Н. В., 2014. – 334 с.

Авторы:

Барсуков Владимир Иванович – кандидат химических наук, доцент, научный руководитель лаборатории «Атомная спектроскопия» кафедры «Физика»;

Гребенников Михаил Владимирович заместитель директора Испытательного центра;

Дмитриев Олег Сергеевич – доктор технических наук, профессор, заведующий кафедрой «Физика»;

Емельянов Анатолий Алексеевич – директор Испытательного центра;

Барсуков Александр Андреевич – студент, ФГБОУ ВО «ТГТУ», г. Тамбов, Россия.

Рецензент:

Мордасов Денис Михайлович – доктор технических наук, профессор, заведующий кафедрой «Материалы и технологии», ФГБОУ ВО «ТГТУ», г. Тамбов, Россия.

Отправьте нам сообщение

This contact form is deactivated because you refused to accept Google reCaptcha service which is necessary to validate any messages sent by the form.