Руды железные, концентраты, агломераты и окатыши.
Методы определения содержания окиси калия и окиси натрия
ГОСТ 23581.10-79
Статус: действует. Дата введения в действие: 01.01.1981
Предупреждение: данный текст представлен для ознакомления. Текст может содержать ошибки и неточности и не является официальным документом. Во всех важных случаях пользуйтесь официальными изданиями.
Настоящий стандарт распространяется на железные руды, концентраты, агломераты и окатыши и устанавливает пламенно-фотометрический и атомно-абсорбционный методы определения окиси калия и окиси натрия при массовой доле их от 0,010 до 2,0%.
Примечание: Измененная редакция (Изм. N 1).
1. ОБЩИЕ ТРЕБОВАНИЯ
1.1. Общие требования к методам анализа — по ГОСТ 23581.0-80.
Примечание: Измененная редакция (Изм. N 1).
2. ПЛАМЕННО-ФОТОМЕТРИЧЕСКИЙ МЕТОД
Метод основан на возбуждении атомов калия и натрия в пламени ацетилен-воздух или пропан-бутан-воздух и измерении интенсивности возникающего характерного излучения определяемых элементов — калия при длине волны 766,5 нм и натрия при длине волны 589,0 нм.
Влияние кальция устраняется путем использования монохроматоров, взаимное влияние щелочных элементов (натрия, лития и др.) — введением в раствор соли цезия
При возникновении разногласий в оценке качества руды, концентрата или агломерата по показателю «содержание окиси калия и натрия» определение проводят пламенно-фотометрическим методом.
2.1. Аппаратура, реактивы и раствор
2.1.1. Для проведения анализа применяют:
фотометр фотоэлектрический пламенный с монохроматором;
ацетилен растворенный и газообразный технический по ГОСТ 5457-75;
пропан-бутан;
калий хлористый по ГОСТ 4234-77;
натрий хлористый по ГОСТ 4233-77;
кислоту соляную по ГОСТ 3118-77 и разбавленную 1:1;
кислоту серную по ГОСТ 4204-77, разбавленную 1:1;
кислоту фтористоводородную (плавиковую кислоту) по ГОСТ 10484-78;
цезий азотнокислый, раствор 15 г/дм3;
стандартные растворы калия:
раствор А: 1,583 г хлористого калия, предварительно прокаленного при 500 °С до постоянной массы, помещают в стакан вместимостью 400 см3 и растворяют в 200 см3 воды. Раствор переливают в мерную колбу вместимостью 1 дм3, доводят до метки водой и перемешивают. 1 см3 раствора соответствует 1 мг окиси калия;
раствор Б: 25 см3 стандартного раствора А помещают в мерную колбу вместимостью 250 см3, разбавляют до метки водой и перемешивают. 1 см3 раствора соответствует 0,1 мг окиси калия;
стандартные растворы натрия:
раствор А: 1,886 г хлористого натрия, предварительно прокаленного при 500 °С до постоянной массы, помещают в стакан вместимостью 400 см и растворяют в 200 см3 воды. Раствор переливают в мерную колбу вместимостью 1 дм3 доводят до метки водой и перемешивают. 1 см3 раствора соответствует 1 мг окиси натрия;
раствор Б: 25 см3 стандартного раствора А помещают в мерную колбу вместимостью 250 см3, разбавляют до метки водой и перемешивают. 1 см3 раствора соответствует 0,1 мг окиси натрия.
Растворы калия и натрия хранят в полиэтиленовой посуде.
2.2. Проведение анализа
2.2.1. Масса навески руды, концентрата или агломерата в зависимости от содержания окисей калия или натрия указана в табл.1.
Таблица 1
| Массовая доля окиси натрия (калия), % | Масса навески, г |
| От 0,01 до 0,1 | 1 |
| Св. 0,1 > 0,5 | 0,4 |
| > 0,5 > 1 | 0,2 |
| > 1 > 2 | 0,1 |
Навеску помещают в платиновую чашку, прибавляют 10-20 см3 соляной кислоты и нагревают до растворения большей части окислов железа. Затем прибавляют 5-10 см3 фтористоводородной кислоты (в зависимости от содержания двуокиси кремния), 10 см серной кислоты, разбавленной 1:1, и продолжают растворение при слабом нагревании до разложения силикатов. Затем усиливают нагревание и выпаривают раствор до прекращения выделения паров серного ангидрида.
2.2.2. К сухому остатку прибавляют 5 см3 соляной кислоты, разбавленной 1:1, нагревают, затем прибавляют 20-30 см3 воды и вновь нагревают до растворения основной массы солей. Раствор охлаждают, переносят в мерную колбу вместимостью 100 см3 прибавляют 4 см3 раствора азотнокислого цезия (при содержании окиси натрия более 1%), доводят до метки водой и перемешивают. Если растворы мутные, их фильтруют через сухой фильтр средней плотности, отбрасывая первые порции фильтрата.
Примечание: 2.2.1, 2.2.2. Измененная редакция (Изм. N 1).
2.2.3. Полученные растворы вводят в пламя ацетилен-воздух или пропан-бутан-воздух пламенного фотометра и измеряют интенсивность возникающего излучения калия при длине волны 766,5 нм, натрия — при длине волны 589,0 нм.
Процесс фотометрирования для каждого раствора проводят дважды и берут среднее значение интенсивности излучения. При смене растворов систему распыления промывают водой
Для внесения в результат анализа поправки на содержание окисей натрия или калия в реактивах через все стадии анализа проводят контрольный опыт.
По найденным значениям интенсивности излучения исследуемого раствора за вычетом интенсивности излучения раствора контрольного опыта, полученного параллельно с анализом, находят содержание окиси калия или окиси натрия по градуировочному графику или по методу ограничивающих растворов.
2.2.4. Для построения градуировочного графика в мерные колбы вместимостью 100 см3 помещают 1; 2,5; 5; 10; 20 см3 стандартных растворов Б калия и натрия, что соответствует 0,1; 0,25; 0,5; 1,0; 2,0 мг окиси калия или окиси натрия, прибавляют по 5 мл соляной кислоты, разбавленной 1:1, по 4 см3 раствора азотнокислого цезия (если он вводится в анализируемые растворы), разбавляют до метки водой, перемешивают и измеряют интенсивность полученных растворов, как указано в п.2.2.3.
2.2.5. Контрольный опыт получают в соответствии с п.2.2.4 без добавления стандартных растворов калия и натрия.
По найденным значениям интенсивности излучения растворов для градуировочного графика за вычетом значения интенсивности излучения раствора контрольного опыта и соответствующим им содержаниям окиси калия или окиси натрия строят градуировочный график.
2.2.6. При нахождении содержания окиси калия и окиси натрия по методу ограничивающих растворов интенсивность излучения испытуемого раствора сравнивают с интенсивностью излучения двух стандартных растворов, полученных согласно п.2.2.4. Интенсивность излучения одного раствора на 10% выше и второго на 10% ниже интенсивности излучения анализируемого раствора.
2.3. Обработка результатов
2.3.1. Массовую долю окисей калия или натрия (X) в процентах вычисляют по формуле
![]()
где m1 — масса окиси калия (натрия) в анализируемой пробе, найденная по градуировочному графику или по формуле, указанной ниже, мг/см3;
V — объем фотометрируемого раствора, см3;
K — коэффициент пересчета содержания окиси калия (натрия) на содержание ее в сухом материале, вычисленный по формуле
![]()
где Wг — массовая доля гигроскопической влаги в анализируемой пробе, определяемая по ГОСТ 23581.1-79, %;
m — масса навески в объеме фотометрируемого раствора, г.
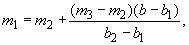
Величину m1 для метода ограничивающих растворов вычисляют по формуле
![]()
где m2 — масса окиси калия (натрия) в стандартном растворе, концентрация которого меньше по сравнению с раствором анализируемой пробы, мг/см3;
m3 — масса окиси калия (натрия) в стандартном растворе, концентрация которого больше по сравнению с раствором анализируемой пробы, мг/см3;
b — показание регистрирующего прибора для раствора анализируемой пробы за вычетом показания прибора для раствора контрольного опыта;
b1 — показание регистрирующего прибора для стандартного раствора с концентрацией m2 за вычетом показания прибора для раствора контрольного опыта;
b2 — показание регистрирующего прибора для стандартного раствора с концентрацией m3 за вычетом показания прибора для раствора контрольного опыта.
2.3.2. Допускаемые расхождения — по п.3.3.2.
3. МЕТОД АТОМНОЙ АБСОРБЦИИ
Метод основан на измерении поглощения излучения спектральных высокочастотных ламп атомами калия и натрия по резонансной линии калия 766,5 нм и натрия — 589,0 нм. Для атомизации анализируемых руды, концентрата или агломерата используется пламя ацетилен-воздух.
3.1. Аппаратура, реактивы и растворы
3.1.1. Для проведения анализа применяют:
спектрофотометр атомно-абсорбционный;
ацетилен растворенный по ГОСТ 5457-75;
калий хлористый по ГОСТ 4234-77;
натрий хлористый по ГОСТ 4233-77;
кислоту соляную по ГОСТ 3118-77, разбавленную 1:1;
кислоту серную по ГОСТ 4204-77, разбавленную 1:1;
кислоту фтористоводородную (плавиковую) по ГОСТ 10484-78;
стандартные растворы калия:
раствор А: 1,583 г хлористого калия, предварительно прокаленного при температуре 500 °С до постоянной массы, помещают в стакан вместимостью 400 см3 и растворяют в 200 см3 воды. Раствор переливают в мерную колбу вместимостью 1 дм3, доводят до метки водой и перемешивают. 1 см3 раствора соответствует 1 мг окиси калия;
раствор Б: 10 см3 стандартного раствора А помещают в мерную колбу вместимостью 1 дм3, разбавляют до метки водой и перемешивают. 1 см3 раствора соответствует 0,01 мг окиси калия;
стандартные растворы натрия:
раствор А: 1,886 г хлористого натрия, предварительно прокаленного при температуре 500 °С до постоянной массы, помещают в стакан вместимостью 400 см3 и растворяют в 200 см3 воды. Раствор переливают в мерную колбу вместимостью 1 дм3, доводят до метки водой и перемешивают. 1 см3 раствора соответствует 1 мг окиси натрия;
раствор Б: 10 см3 стандартного раствора А помещают в мерную колбу вместимостью 1 дм3, разбавляют до метки водой и перемешивают. 1 см3 раствора соответствует 0,01 мг окиси натрия.
Растворы калия и натрия хранят в полиэтиленовой посуде.
3.2. Проведение анализа
3.2.1. Навеску руды, концентрата или агломерата массой 0,5 г разлагают в соответствии с п.2.2.1.
3.2.2. К сухому остатку прибавляют 5 см3 соляной кислоты, разбавленной 1:1, нагревают, затем прибавляют 20-30 см3 воды и вновь нагревают до растворения основной массы солей. Раствор охлаждают, переносят в мерную колбу вместимостью 100 см3, доводят до метки водой и перемешивают.
Примечание: Измененная редакция (Изм. N 1).
3.2.3. От полученного раствора отбирают аликвотную часть, содержащую не более 0,2 мг окиси калия и не более 0,1 мг окиси натрия, помещают ее в мерную колбу вместимостью 100 см3 прибавляют 5 см3 соляной кислоты, разбавленной 1:1, доводят до метки водой и перемешивают.
Раствор распыляют в пламени ацетилен-воздух атомно-абсорбционного спектрофотометра и измеряют абсорбцию калия при длине волны 766,5 нм и натрия при длине волны 589,0 нм.
При смене растворов систему промывают водой и проверяют нуль прибора.
Для внесения в результат анализа поправки на содержание окисей калия и натрия в реактивах через все стадии анализа проводят контрольный опыт.
По найденным значениям абсорбции исследуемого раствора за вычетом абсорбции раствора контрольного опыта, полученного параллельно с пробами, находят содержание окиси калия и окиси натрия по градуировочному графику или по методу ограничивающих растворов.
3.2.4. Для построения градуировочного графика в мерные колбы вместимостью 100 см помещают 1, 5, 10, 15, 20 см3 стандартного раствора калия Б, что соответствует 0,01; 0,05; 0,10; 0,15; 0,20 мг окиси калия и 2, 5. 7, 10, 15 см3 стандартного paствора натрия Б, что соответствует 0,02; 0,05; 0,07; 0,10; 0,15 мг окиси натрия, прибавляют 5 см3 соляной кислоты, разбавленной 1:1, разбавляют до метки водой, перемешивают и измеряют абсорбцию растворов, как указано в п.3.2.3.
3.2.5. Контрольный опыт для градуировочного графика получают в соответствии с п.3.2.4 без добавления стандартных растворов калия и натрия.
По найденным значениям абсорбции растворов для градуировочного графика за вычетом значения абсорбции раствора контрольного опыта и соответствующим им содержаниям окиси калия и окиси натрия строят градуировочный график.
3.2.6. При нахождении содержания окиси калия и окиси натрия по методу ограничивающих растворов абсорбцию испытуемого раствора сравнивают с абсорбцией двух стандартных растворов, полученных согласно п.3.2.4. Абсорбция одного раствора на 10% выше и второго на 10% ниже абсорбции анализируемого раствора.
3.3. Обработка результатов
3.3.1. Массовую долю окиси калия (натрия) (X) в процентах вычисляют, как указано в п.2.3.1.
3.3.2. Расхождение между результатами двух определений при доверительной вероятности P = 0,95 не должно превышать величины, указанной в табл.2.
Таблица 2
| Массовая доля окиси калия (натрия), % | Допускаемое расхождение, % |
| От 0,01 до 0,02 | 0,01 |
| Св. 0,02 > 0,05 | 0,015 |
| > 0,05 > 0,1 | 0,03 |
| > 0,1 > 0,2 | 0,04 |
| > 0,2 > 0,5 | 0,06 |
| > 0,5 > 1 | 0,1 |
| > 1 > 2 | 0,15 |
Примечание: Измененная редакция (Изм. N 1).
ИНФОРМАЦИОННЫЕ ДАННЫЕ
ВВЕДЕН Постановлением Государственного комитета СССР по стандартам от 24 апреля 1979 г. N 1500 срок действия установлен с 01.01.81 до 01.01.86
ВЗАМЕН ГОСТ 12759-67
ПЕРЕИЗДАНИЕ. Сентябрь 1983 г.
ВНЕСЕНО Изменение №1, введенное в действие постановлением Государственного комитета СССР по стандартам от 04.07.85 № 2137 с 01.01.86


