ПОЧВЫ
МЕТОДЫ ОПРЕДЕЛЕНИЯ ВАЛОВОГО
ФОСФОРА И ВАЛОВОГО КАЛИЯ
ГОСТ 26261-84
Статус: действует. Дата введения в действие: 01.07.1985
Предупреждение: данный текст представлен для ознакомления. Текст может содержать ошибки и неточности и не является официальным документом. Во всех важных случаях пользуйтесь официальными изданиями.
Настоящий стандарт устанавливает методы определения валового фосфора и валового калия в почвах естественного и нарушенного сложения, во вскрышных и вмещающих породах.
Стандарт применяется при выполнении почвенных, агрохимических и мелиоративных обследований и при оценке пригодности нарушенного плодородного слоя почв для землевания.
Стандарт не распространяется на почвы с массовой долей органического вещества более 25%, а для метода определения калия также и на почвы с массовой долей карбоната кальция более 40% и с массовой долей водорастворимых солей более 1%.
1. ОБЩИЕ ПОЛОЖЕНИЯ
Почва, поступающая на анализ, должна быть предварительно доведена до воздушно-сухого состояния, измельчена, пропущена через сито с круглыми отверстиями диаметром 1—2 мм, хорошо перемешана и распределена по ровной поверхности слоем толщиной не более 1 см. Аналитическую пробу массой 10 г отбирают ложкой или шпателем не менее чем из пяти разных мест, равномерно расположенных по площади, на всю глубину слоя. Затем пробу измельчают при помощи любого устройства, не загрязняющего почву, до состояния пудры; при этом почва не должна царапать кожу при втирании.
Из аналитической пробы берут две навески почвы для определения гигроскопической влаги по ГОСТ 5180—75.
2. АППАРАТУРА, МАТЕРИАЛЫ, РЕАКТИВЫ
Фотоэлектроколориметр по ГОСТ 12083—78 или другие аналогичные приборы, позволяющие работать в интервале длин волн 360—420 нм и выше 650 нм.
Фотометр пламенный но ГОСТ 22744—77 со светофильтрами, пропускающими аналитические линии калия 766,5 и 769,9 нм.
Плитка электрическая по ГОСТ 306—76 или колбонагреватель.
Плитка электрическая с закрытой этернитовой поверхностью.
Печь муфельная с терморегулятором, температурой нагрева до 1000° С.
Шкаф сушильный с терморегулятором.
Баня водяная.
Весы лабораторные 2-го класса точности с предельной нагрузкой 200 г и весы лабораторные с предельной нагрузкой 500 г по ГОСТ 24104-80.
Очки защитные.
Перчатки резиновые кислото- и щелочестойкие.
Палочки, пестики, промывалки стеклянные.
Стекла часовые.
Ступка яшмовая или халцедоновая с пестиком.
Сита с сетками 1 и 2 по ГОСТ 3584—73.
Асбест листовой толщиной 0,5 см.
Бумага фильтровальная по ГОСТ 12026—76.
Фильтры беззольные, белая и синяя лента.
Бюретки из .полиэтилена с погрешностью дозирования ±0,25 мл.
Дозаторы ШД-115 и ДАЖ-115 или бюретки и пипетки 2-го класса точности по ГОСТ 20292—74.
Колбы и цилиндры мерные по ГОСТ 1770—74, наливные.
Стаканы, воронки, колбы плоскодонные и Кьельдаля по ГОСТ 25336—82.
Тигли фарфоровые высотой 4—5 см по ГОСТ 9147—80.
Чашки из фторопласта с крышками, диаметром 5—9 см.
Вода дистиллированная по ГОСТ 6709—72.
Алюминий сернокислый по ГОСТ 3758—75.
Алюминий хлористый 6-водный по ГОСТ 3759—75, х. ч.
Аммиак водный по ГОСТ 3760—79, раствор с массовой долей 10%.
Аммоний ванадиевокислый по ГОСТ 9336-75.
Аммоний молибденовокислый по ГОСТ 3765—78.
Аммоний углекислый по ГОСТ 3770—75, раствор с массовой долей 10%.
Аммоний хлористый по ГОСТ 3773—72, х. ч.
Калий сурьмяновиннокислый.
Калий фосфорнокислый однозамещенный по ГОСТ 4198—75, х.ч.
Калий хлористый по ГОСТ 4234—77, х. ч.
Кальций углекислый по ГОСТ 4530—76, х. ч.
Кислота азотная по ГОСТ 4461—77, раствор с объемной долей 50 и 5%.
Кислота аскорбиновая, раствор с массовой долей 1%; готовят в день анализа.
Кислота серная по ГОСТ 4204—77, раствор с (1/2H2SO4) = 2,5 моль/л, раствор с массовой долей 10%.
Кислота соляная по ГОСТ 3118—77, раствор с (НСl) = 0,025 моль/л, раствор с объемной долей 50%.
Кислота фтористоводородная по ГОСТ 10484—78.
Кислота хлорная, раствор с массовой долей 50%.
Метиловый красный по ГОСТ 5853—51, спиртовой раствор с массовой долей 0,4%
Фенолфталеин по ГОСТ 5850—72, спиртовой раствор с массовой долей 0,1%; готовят по ГОСТ 4919.1—77.
3. ПОДГОТОВКА К АНАЛИЗУ
3.1. Приготовление раствора с массовой концентрацией пятиокиси фосфора 0,1 мг/мл
(0,1917±0,0015) г фосфорнокислого однозамещенного калия растворяют в небольшом объеме дистиллированной воды и переносят раствор в мерную колбу вместимостью 1000 мл. Добавляют 10 мл раствора с массовой долей серной кислоты 10%, доливают до метки дистиллированной водой и перемешивают. Срок хранения раствора 2 мес.
3.2. Приготовление раствора с массовой концентрацией пятиокиси фосфора 0,01 мг/мл
Раствор с массовой концентрацией пятиокиси фосфора 0,1 мг/мл разбавляют в мерной колбе дистиллированной водой в 10 раз. Хранят раствор не более 5 дней.
3.3. Приготовление раствора с массовой концентрацией калия 500 мкг/мл
(0,9533±0,0015) г хлористого калия растворяют в небольшом объеме дистиллированной воды, переносят в мерную колбу вместимостью 1000 мл, доливают до метки дистиллированной водой и перемешивают. Срок хранения раствора 1 мес.
3.4. Приготовление смешанного молибдено-сурьмяного окрашивающего реактива
6 г молибденоеокислого аммония и 0,15 г сурьмяновиннокислого калия растворяют в 100 мл дистиллированной воды, нагретой до 60°С. Если необходимо, то фильтруют. Раствор охлаждают до комнатной температуры, добавляют 500 мл серной кислоты с молярной концентрацией с (1/2H2SO4) =2,5 моль/л и доливают дистиллированной водой до 1 л. В темной склянке раствор можно хранить до 1 мес.
3.5. Приготовление раствора А
10 г молибденовокислого аммония растворяют в 100 мл дистиллированной воды, нагретой до 60° С. К раствору медленно при перемешивании добавляют 2 мл концентрированной азотной кислоты и охлаждают раствор до комнатной температуры, если необходимо, фильтруют.
3.6. Приготовление раствора Б
0,30 г ванадиевокислого аммония растворяют в 50 мл дистиллированной воды, нагретой до 60° С. Раствор охлаждают до комнатной температуры и добавляют 50 мл раствора с объемной долей азотной кислоты 5%.
3.7. Приготовление смешанного молибдено-ванадатного окрашивающего реактива
К раствору Б небольшими порциями при непрерывном перемешивании стеклянной палочкой, приливают раствор А. Затем к смеси добавляют 10 мл концентрированной азотной кислоты и снова перемешивают раствор стеклянной палочкой. В темной склянке раствор можно хранить 1 мес.
3.8. Приготовление суспензии гидроокиси алюминия
В 200 мл дистиллированной воды, подкисленной соляной кислотой до изменения окраски индикаторной бумаги, соответствующей рН 2—3, и нагретой до 50—60° С, растворяют 100 г сернокислого алюминия или 100 г хлористого алюминия, если необходимо, фильтруют. В прозрачный раствор, небольшими порциями добавляют, при перемешивании стеклянной палочкой, раствор с массовой долей углекислого аммония 10% до прекращения выпадения осадка, а затем еще избыток 1—2 мл. Суспензию охлаждают до комнатной температуры и используют для пропитывания беззольных фильтров с синей лентой.
3.9. Приготовление серии растворов сравнения для определения фосфора по молибдено-фосфорной сини
В восемь мерных колб вместимостью по 100 мл каждая из бюретки наливают разные объемы раствора с массовой концентрацией пятиокиси фосфора 0,01 мг/мл: 0; 0,5; 1,0; 2,0; 3,0; 5,0; 7,0; 10,0 мл. В каждую колбу до 3/4 объема наливают соляную кислоту с молярной концентрацией с(НСl) = 0,025 моль/л. Далее проводят все операции как изложено при описании указанного метода определения фосфора в почве (разд. 4).
3.10. Приготовление серии растворов сравнения для определения фосфора молибдено-ванадатным методом
В семь мерных колб вместимостью по 50 мл каждая из бюретки наливают разные объемы раствора с массовой концентрацией пятиокиси фосфора 0,1 мг/мл: 0; 0,5; 1,0; 5,0; 7,5; 10,0; 15,0 мл. Затем в каждую колбу приливают по 2,5 мл концентрированной азотной кислоты. Далее проводят все операции, как указано при описании данного метода определения фосфора в почве (разд. 4).
3.11. Приготовление серии растворов сравнения для определения калия методом фотометрии пламени
В шесть мерных колб вместимостью по 100 мл каждая из бюретки наливают разные объемы раствора с массовой концентрацией калия 500 мкг/мл: 1,0; 2,0; 3,0; 4,0; 5,0; 6,0 мл. При разложении почвы фтористоводородной кислотой в каждую колбу добавляют по 1,3 мл раствора с объемной долей соляной или азотной кислоты 50%. Затем в каждую колбу вводят рассчитанный объем раствора с массовой долей аммиака 10%, необходимый
для нейтрализации введенной кислоты, а также все реактивы, которые добавляют к фильтрату почвы при этом методе.
При разложении почвы спеканием по методу Бурьянова в каждую колбу вводят все реактивы, добавляемые к фильтрату почвы при этом методе. Растворы доливают дистиллированной водой до метки, перемешивают и вводят в распылитель пламенного фотометра. В зависимости от разрешающей способности используемого прибора допускается для растворов сравнения брать больший или меньший диапазон концентраций калия.
4. ПРОВЕДЕНИЕ АНАЛИЗА
4.1. Разложение почвы фтористоводородной кислотой для определения калия и фосфора в одной навеске
Все работы с фтористоводородной кислотой проводят в вытяжном шкафу в резиновых перчатках. Вытяжная система должна иметь хорошую вентиляцию. Стеклянную поверхность вытяжных шкафов необходимо смазывать парафином или вазелином.
Навеску почвы 1,0—2,0 г взвешивают на лабораторных весах в предварительно взвешенный фарфоровый тигель высотой 4—5 см.
Тигель с почвой помещают в холодную муфельную печь и постепенно нагревают до 500° С. При этой температуре почву прокаливают в течение 3 ч до озоления органического вещества, а затем охлаждают до комнатной температуры. Прокаленную почву количественно переносят во фторопластовую чашку. Оставшиеся частицы почвы смывают с тигля 1—2 мл дистиллированной воды и также переносят в чашку.
В чашку из бюреток приливают 15 мл фтористоводородной кислоты и 5 мл концентрированной азотной кислоты и закрывают ее крышкой из фторопласта. Чашку помещают на электроплитку, покрытую слоем асбеста, и нагревают в течение 30 мин, после чего с чашки снимают крышку и выпаривают кислоты почти досуха. Затем в чашку добавляют еще I мл концентрированной азотной и 10 мл фтористоводородной кислот и повторяют всю
операцию. Почву необходимо обработать фтористоводородной и азотной кислотами еще раз, если при выпаривании второй порции на дне чашки оставались неразложившиеся частицы почвы.
После полного разложения почвы содержимое чашки выпаривают досуха. Сухой остаток в чашке обрабатывают два раза по
10 мл концентрированной азотной кислотой, каждый раз выпаривая кислоту досуха, чтобы удалить фторид-ион.
При определении фосфора методом молибденофосфорной сини остаток в чашке растворяют в соляной кислоте (раствор с объемной долей 50%). При определении фосфора молибденованадатным методом — в азотной кислоте (раствор с объемной долей 50%). Для растворения остатка в чашку приливают 5 мл соответствующей кислоты, закрывают часовым стеклом и нагревают на электроплитке 5 мин. Затем снимают стекло, приливают 15 мл горячей дистиллированной воды и содержимое чашки фильтруют через беззольный фильтр в мерную колбу вместимостью 100 мл. Чашку, стекло и фильтр промывают несколько раз горячей дистиллированной водой с 1—2 каплями соответствующей кислоты. Раствор в колбе охлаждают до комнатной температуры, доливают до метки дистиллированной водой и перемешивают. В растворе определяют фосфор и калий. Одновременно проводят контрольный анализ без почвы.
4.2. Разложение почвы спеканием без применения платиновой посуды по методу Бурьянова для определения калия
Навеску почвы 0,2—0,25 с взвешивают на лабораторных весах и переносят в чистую яшмовую или халцедоновую ступку с гладкой поверхностью. Добавляют равное количество хлористого аммония и тщательно перемешивают смесь пестиком. Затем к смеси порциями добавляют 2 г углекислого кальция, тщательно перетирая его с почвой. На дно фарфорового тигля, высотой 4—5 см, помещают 3—4 прокладки в виде кружков, вырезанных из сухого беззольного фильтра с синей лентой, пропитанного суспензией гидроокиси алюминия, приготовленной по п. 3.8. Затем в тигель помещают сухой бумажный конус, пропитанный той же суспензией. Для приготовления прокладок плотные беззольные фильтры с синей лентой по одному опускают в суспензию гидроокиси алюминия и, не давая стечь осадку, помещают в сушильный шкаф на фильтровальную бумагу и просушивают при температуре не выше 70° С. Для приготовления прокладок в виде конусов два фильтра складывают вместе, свертывают в виде конуса, подгоняют по размеру тигля, в котором будет происходить спекание, и опускают в суспензию. При последующем высушивании в сушильном шкафу конус не должен терять свою форму. Для приготовления более плотной прокладки допускается вторичная обработка в суспензии уже пропитанного и высушенного конуса или фильтра. Размер прокладок-кружков должен соответствовать диаметру дна тигля. В конус переносят почву, перетертую с плавнем. Тигель осторожно постукивают о поверхность стола, чтобы уплотнить смесь почвы с плавнем. Чтобы на ступке не оставалось частичек почвы, в нее снова помещают 0,5 г углекислого кальция и, пользуясь пестиком, тщательно протирают поверхность ступки. Углекислый кальций из ступки переносят в конус и распределяют сверху смеси почвы с плавнем. Тигель ставят в холодную муфельную печь с терморегулятором, постепенно нагревают до 250—300° С и выдерживают при этой температуре 30 мин. Затем увеличивают нагрев и прокаливают тигель при температуре 800—900° С в течение 1 — 1,5 ч. Готовый спек охлаждают, вынимают из тигля и переносят в стакан, куда приливают 25—30 мл горячей дистиллированной воды. Стакан ставят на горячую водяную баню и через 15—20 мин стеклянным пестиком осторожно измельчают спек в однородную массу. Если частички спека разминаются с трудом, то нагревание на бане повторяют, а затем продолжают измельчение спекшейся массы. Стеклянный пестик в течение всей операции из стакана не вынимают. Раствор из стакана фильтруют через беззольный фильтр с белой лентой, не перенося основную массу осадка на фильтр. Фильтрат собирают в стакан вместимостью 500 мл. Осадок промывают порциями по 25 мл горячей дистиллированной воды, каждый раз сливая на фильтр отстоявшуюся жидкость, по возможности не взмучивая осадка. Собирают 400 мл фильтрата, который используют для определения калия методом фотометрии пламени.
Чтобы проверить полноту спекания, осадок в стакане и на фильтре растворяют в 10—15 мл соляной кислоты (раствор с объемной долей 50%) при нагревании на водяной бане в вытяжном шкафу. При полном спекании в стакане должны отсутствовать песчинки, которые издают скребущий звук при перемешивании раствора стеклянным пестиком. После проверки раствор отбрасывают. Если спекание неполное, то операцию разложения почвы повторяют. Одновременно проводят контрольный анализ без почвы.
4.3. Разложение почвы обработкой кислотами для определения и фосфора по методу Гинзбург
Навеску почвы от 0,5 до 1,0 г взвешивают на лабораторных весах и переносят в колбу Кьельдаля или плоскодонную колбу вместимостью 100 мл. Почву смачивают несколькими каплями дистиллированной воды и приливают 8 мл концентрированной серной кислоты и 0,5—0,8 мл раствора с массовой долей хлорной кислоты 50%. Горло колбы закрывают маленькой воронкой, которая служит холодильником, и оставляют на 30—60 мин или на ночь. Разложение почвы кислотами в присутствии хлорной кислоты необходимо вести в защитных очках. Колбу ставят на колбонагреватель или на электрическую плитку в вытяжной шкаф и нагревают раствор до кипения. Разложение почвы ведут до тех пор, пока раствор над осадком почвы не станет бесцветным, после чего продолжают нагревание еще 5—10 мин. При полном разложении остаток почвы должен стать белесого цвета со слегка желтоватым или сероватым оттенком. После полного разложения почвы раствор охлаждают и в колбу осторожно по стенке приливают 20—30 мл дистиллированной воды. Суспензию перемешивают и вместе с остатком почвы переносят в мерную колбу вместимостью 200 или 250 мл. Колбу, в которой вели разложение, несколько раз обмывают теплой дистиллированной водой, приливая ее к основному раствору в мерной колбе. Раствор охлаждают до комнатной температуры, доливают до метки дистиллированной водой и перемешивают. Затем фильтруют раствор через сухой фильтр с белой лентой в чистую сухую колбу. Осадок не промывают и отбрасывают. В фильтрате определяют фосфор фотометрическим методом. Одновременно проводят контрольный анализ с одними реактивами без почвы.
4.4. Определение фосфора по молибденофосфорной сини
Из солянокислого фильтрата, полученного после разложения почвы по п. 4.1, или из фильтрата, полученного после разложения почвы по 4.3, берут 5 мл раствора и переносят в мерную колбу вместимостью 100 мл, разбавляют дистиллированной водой до 3/4 объема колбы и медленно, при перемешивании круговыми движениями, в колбу вливают 16 мл смешанного молибдено-сурьмяного окрашивающего реактива, приготовленного по п. 3.4. Через 1—2 мин добавляют 2 мл свежеприготовленного раствора с массовой долей аскорбиновой кислоты 1 % и снова хорошо перемешивают круговыми движениями. Раствор доливают до метки дистиллированной водой, перемешивают и оставляют на 10—15 мин для образования устойчивой окраски. Оптическую плотность окрашенного раствора измеряют относительно нулевого раствора при длине волны 650 нм и выше. Одновременно проводят контрольный анализ на чистоту реактивов.
4.5. Определение фосфора в виде молибдено-ванадатфосфорного соединения
Из азотнокислого фильтрата, полученного после разложения почвы по п. 4.1, или из фильтрата, полученного после разложения почвы по п. 4.3, берут 25 мл раствора и переносят в мерную колбу вместимостью 50 мл. Добавляют 2,5 мл концентрированной азотной кислоты и разбавляют раствор дистиллированной водой до 30—35 мл. Затем медленно вводят 10 мл окрашивающего молибденованадатного реактива, приготовленного по п. 3.7, доливают до метки дистиллированной водой, перемешивают и оставляют на 10—15 мин для образования устойчивой окраски. Оптическую плотность окрашенного раствора измеряют относительного нулевого раствора при длине волны 360—420 нм. Одновременно проводят контрольный анализ на чистоту реактивов.
При определении фосфора обоими методами допускается увеличение или уменьшение объемов анализируемого раствора при условии, чтобы погрешность дозирования не превышала ±0,05 мл и чтобы общий объем окрашенного раствора оставался таким, как указано при описании метода.
4.6. Определение калия
Из фильтрата, полученного после разложения почвы по п. 4.1, берут 25 мл раствора и переносят в мерную колбу вместимостью 250 мл, доливают дистиллированной водой до половины колбы и добавляют 1 каплю спиртового раствора с массовой долей метилового красного 0,4%. Затем в колбу по каплям, при перемешивании круговыми движениями, вводят раствор с массовой долей аммиака 10% до перехода окраски индикатора в желтую и выпадения обильного осадка гидрооксидов. После этого содержимое колбы доливают до метки дистиллированной водой, перемешивают и оставляют на 20—30 мин, чтобы осадок сел на дно колбы. Осторожно, не взмучивая осадка, сливают прозрачный отстоявшийся раствор в сухой стаканчик вместимостью 25 мл и вводят раствор в распылитель пламенного фотометра. Одновременно проводят контрольный анализ.
Фильтрат, полученный после разложения почвы по л. 4.2, нагревают в стакане до 70—80° С, добавляют 1—2 капли фенолфталеина и по каплям, перемешивая раствор стеклянной палочкой, вводят раствор с массовой долей аммиака 25% до явно розовой окраски. После этого, для осаждения избытка кальция приливают 35 мл раствора с массовой долей углекислого аммония 10%, перемешивают, кипятят раствор 5 мин и оставляют на 30 мин на горячей водяной бане. Затем раствор охлаждают и отфильтровывают осадок через беззольный фильтр с белой лентой. Фильтрат собирают в мерную колбу вместимостью 500 мл, осадок промывают 8—10 раз холодной прокипяченной дистиллированной водой, собирая промывные воды в ту же колбу; осадок отбрасывают. Раствор в мерной колбе доливают дистиллированной водой до метки и перемешивают. Раствор наливают в сухой стаканчик вместимостью 25 мл и определяют калий на пламенном фотометре. Одновременно проводят контрольный анализ.
5. ОБРАБОТКА РЕЗУЛЬТАТОВ
5.1. Расчет валового фосфора
Для расчета валового фосфора в почве строят градуировочные графики. При построении графика по оси ординат откладывают величины измеренных оптических плотностей в растворах сравнения, приготовленных но пп. 3.9 или 3.10, а по оси абсцисс — соответствующие массовые концентрации пятиокиси фосфора: для определения по молибденофосфорной сини— 0,05; 0,1; 0,2; 0,3; 0,5 мкг/мл; для определения молибденованадатным методом — 1,0; 2,0; 10,0; 15,0; 20,0; 30,0 мкг/мл. Градуировочные графики строят в день анализа так, чтобы усредняющая линия проходила как можно ближе к точкам, полученным в результате единичного измерения
растворов сравнения. По графику находят массовые концентрации пятиокиси фосфора во взятом для анализа растворе и вычисляют валовый фосфор в почве (Р2О5) в процентах по формуле

где с — массовая концентрация пятиокиси фосфора, найденная по графику, мкг/мл;
V1 — объем раствора после разложения почвы, мл;
V3— вместимость мерной колбы, мл;
V2— объем раствора, взятый на анализ, мл;
m — масса сухой почвы, г;
100 —- коэффициент пересчета на 100 г почвы;
1000000— коэффициент пересчета микрограммов в граммы.
Из полученного результата вычитают результат контрольного анализа
5.2. Расчет валового калия
Для расчета валового калия в почве строят градуировочный график. При построении графика по оси абсцисс откладывают массовые концентрации калия в растворах сравнения, приготовленных по п. 3.11: 5,0; 10,0; 15,0; 20,0; 25,0; 30,0 мкг/мл, а по оси ординат — соответствующие им показания фотометра в микроамперах. Градуировочный график строят в день анализа. По графику находят массовую концентрацию калия в мкг/мл анализируемого раствора и вычисляют валовый калий в почве (К2О) в процентах по формуле

где с — массовая .концентрация калии, найденная по графику, мкг/мл;
V1 — объем раствора -после разложения почвы, мл;
V3— вместимость мерной колбы, мл;
V2— объем раствора после разложения почвы, мл;
m — масса сухой почвы, г;
100— коэффициент пересчета на 100 г почвы;
1000000 — коэффициент пересчета микрограммов в граммы;
1,203— коэффициент пересчета на окись калия.
Из полученного результата вычитают результат контрольного анализа.
5.3. Массу сухой почвы (m) в граммах вычисляют по формуле

где m1 — масса воздушно-сухой почвы, г;
Wг — гигроскопическая влага, %.
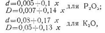
5.4. За окончательный результат анализа принимают единичные определения. Допускаемые расхождения между результатами двух анализов при оперативном контроле воспроизводимости измерений в одной пробе, выполненных в одной лаборатории (d) и разных лабораториях (D) с доверительной вероятностью Р = 0,95, не должны превышать значений:

где х — среднее арифметическое значение сравниваемых результатов измерений, %.
ИНФОРМАЦИОННЫЕ ДАННЫЕ
РАЗРАБОТАН Министерством сельского хозяйства СССР
ИСПОЛНИТЕЛИ
С. И. Носов, канд. экон. наук; В. А. Овчинников, канд. техн. наук; А. П. Клопотовский, канд. с.-х. наук; Э. И, Кокурина, канд. с.-х. наук; Л. М. Степаненко, канд. с.-х. наук; Е. В. Витте, канд. биол. наук; Г. В. Добровольский, д-р биол. наук; Д. С. Орлов, д-р биол. наук; Л. А. Воробьева, канд. биол. наук; Н. М. Гриндель, канд. биол наук; С. Г. Самохвалов, канд. с.-х. наук; В. Г. Прижукова, канд. с.-х. наук; С. С. Ружицкая, канд. с.-х. наук; Т. М. Пивоварова, канд. биол. наук; Е. В. Мареева; Е. В. Лень
ВНЕСЕН Министерством сельского хозяйства СССР
Зам. начальника Главного управления землепользования и землеустройства М. П. Гришаев
УТВЕРЖДЕН И ВВЕДЕН В ДЕЙСТВИЕ Постановлением Государственного комитета СССР по стандартам от 21 августа 1984 г. № 2939
